Dzieci

Ile trwa okres karmienia piersią?
Wiosenne sudoku 6 x 6
Zapowiedzi LEGO Ninjago na 2025r.
O weganizmie / Hardy
Okazja Cenowa (City) – 60404 Ciężarówka z burgerami
ZAANGAŻOWANE • O weganizmie
Nowy trend komunijny już budzi kontrowersje. Zamiast koperty coś znacznie droższego
Okazja Cenowa (Icons) – 10328 Bukiet róż
Zapowiedzi z serii Star Wars na 2025 r.
Okazja Cenowa (Icons) – 10359 Fontanna w ogrodzie
Kałuże/Dalachów: międzysołeckie powitanie wiosny
Jak kłótnie rodziców wpływają na psychikę dziecka?
Mandat za hulajnogę choćby 2500 zł?! Pełna lista wykroczeń i kar
1/72 F-86A Sabre – Dodatki i waloryzacje
Poprzednia grafika p. Matyldy Damięckiej bardzo się spodobała. Serwuję zatem drugą… 🙂
Połącz ze sobą kotki będące w identycznym położeniu (np. kotek w dzbanku, kotek w wiaderku). Trenujemy adekwatne używanie przyimków i orientację w przestrzeni… 🙂
Wytnij i wklej w białe pola figury we właściwym kolorze. Nazwij te figury. Dobre ćwiczenie doskonalące małą motorykę i znajomość figur geometrycznych… 🙂
Połącz plecak z jego cieniem. Doskonalimy analizę wzrokową i umiejętność porównywania… 🙂
Opleśniak albo pieluch. Czy to nie piękne? Dziękujemy p. Leo Olizarczykowi… 🙂
Co małe? Co duże? Co mniejsze? Co większe? Trenujemy umiejętność posługiwania się tymi określeniami… 🙂
Obejrzyj dzieci z przodu i od tyłu. Połącz je w pary. Doskonalimy percepcję wzrokową i spostrzegawczość… 🙂
Co robi każda z osób na obrazkach? Nazwij czynności. Zachęć dziecko, by wypowiadało się pełnymi zdaniami… 🙂
Zdrowe tłuszcze w diecie dziecka – dlaczego są tak ważne?
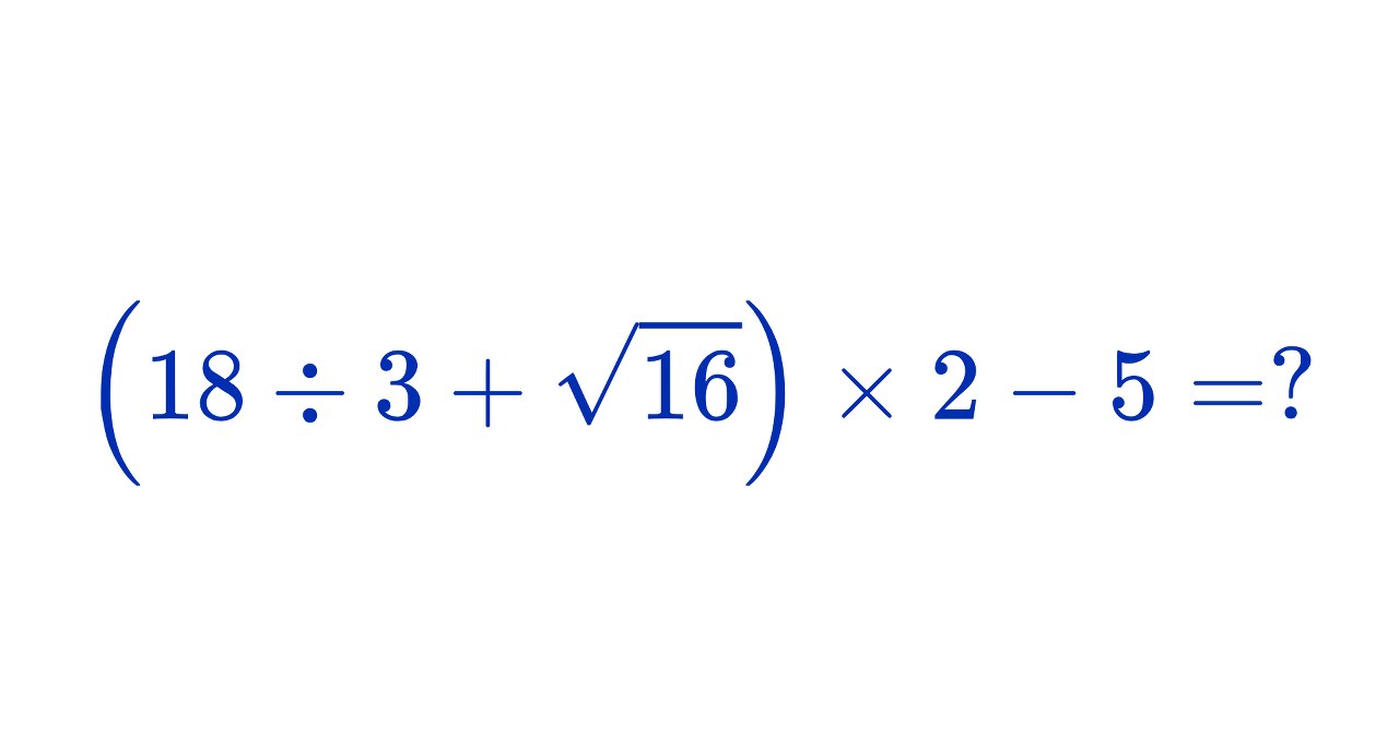
​Pamiętasz kolejność wykonywania działań? jeżeli tak, podasz prawidłowy wynik
W tym kraju matki nie będą płacić podatku
Trend komunijny: komunijne boxy
To imię nadano w ubiegłym roku tylko 7 razy. Kojarzy się ze zwycięstwem
Duży biust jest dla niej przekleństwem. Po urodzeniu dziecka nosi miseczkę K
Jaka pedagogika najlepiej pasuje do Twojego dziecka? Porównanie metod: Waldorfska, Montessori i Reggio Emilia
Jaką dyscyplinę sportu dla dziecka wybrać?
Przez pożar dziecko skakało z okna
"Śledzik czeka na dzidziusia" Anna Ehring
Polka jest położną w Arabii Saudyjskiej. Mówi o zarobkach. To jest przepaść
Ten trend wśród starszego pokolenia dzieli rodziców. Niektórzy mogą mieć żal
​Zagadka matematyczna z 40-stkami. jeżeli podasz wynik w 15 sekund, jesteś mistrzem
Coraz więcej młodzieży spędza czas wędkując
Cukier ukryty w diecie dziecka – gdzie go szukać i jak ograniczać bez wywoływania frustracji?
FESTIWAL MONTE CARLO W NAJWIĘKSZYM PARKU ROZRYWKI
Jak żurawiny pomagają w czytaniu – Ignaś, 2 lata 7 miesięcy
Które ze zwierzaków z marginesu są w trakcie rysowania? Doskonalimy percepcję wzrokową… 🙂
Klasyfikujemy. Poszerzamy wiedzę ogólną dziecka… 🙂
Wytnij figury we właściwym kolorze i naklej je we adekwatnych miejscach. Nazwij te figury. Doskonalimy małą motorykę i znajomość figur geometrycznych… 🙂
A tu nie tylko doskonalimy orientację przestrzenną; uczymy się także używać prawidłowo przyimków… 🙂
Homonimy bogacą słownictwo. Czy znajdziesz jakieś w swoim otoczeniu?
Ile słoni? Ile hipopotamów? Policz i poproś opiekuna, by wpisał cyferkę. Albo ją wystempluj. Albo przyklej naklejkę z cyfrą. Kształtujemy pojęcia matematyczne… 🙂
9 lat projektu "Grajmy!"
Zapowiedzi serii LOTR na 2025 r.
Podróże małe i duże: Muzeum Zabawek w Wilnie
Profilaktyka wad postawy u dziecka – jakie ćwiczenia robić?
To najstarsze uzdrowisko w Europie. Zachwycał się nim sam Juliusz Cezar